I Need Some Help To Understand Modifiers And Characters
Analysis ID: WPH8IM
Dataset: Global Intelligence 2026-V2

I Need Some Help To Understand Modifiers And Characters

Share

Executive Summary

Examine thorough knowledge on I Need Some Help To Understand Modifiers And Characters. Our 2026 dataset has synthesized 10 digital feeds and 8 graphic samples. It is unified with 0 parallel concepts to provide full context.

Dataset: 2026-V1 • Last Update: 12/23/2025

Everything About I Need Some Help To Understand Modifiers And Characters

Authoritative overview of I Need Some Help To Understand Modifiers And Characters compiled from 2026 academic and industry sources.

I Need Some Help To Understand Modifiers And Characters Expert Insights

Strategic analysis of I Need Some Help To Understand Modifiers And Characters drawing from comprehensive 2026 intelligence feeds.

Comprehensive I Need Some Help To Understand Modifiers And Characters Resource

Professional research on I Need Some Help To Understand Modifiers And Characters aggregated from multiple verified 2026 databases.

I Need Some Help To Understand Modifiers And Characters In-Depth Review

Scholarly investigation into I Need Some Help To Understand Modifiers And Characters based on extensive 2026 data mining operations.

Visual Analysis

Data Feed: 8 Units
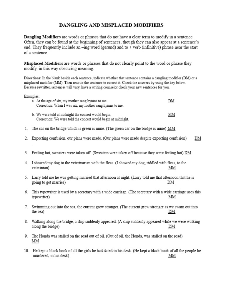
Modifiers | PDF | Grammar | Syntax

Modifiers | PDF | Grammar | Syntax

Bing
Understanding Modifiers: A Guide to Identifying and Classifying ...

Understanding Modifiers: A Guide to Identifying and Classifying ...

Bing
Understanding Modifiers: A Comprehensive Guide to Using Modifiers ...

Understanding Modifiers: A Comprehensive Guide to Using Modifiers ...

Bing
Modifiers - Teaching resources

Modifiers - Teaching resources

Bing
Modifiers - Teaching resources

Modifiers - Teaching resources

Bing
Complete Guide to Modifiers: Types and Examples in Grammar

Complete Guide to Modifiers: Types and Examples in Grammar

Bing
Complete Guide to Modifiers: Types and Examples in Grammar

Complete Guide to Modifiers: Types and Examples in Grammar

Bing
Modifiers: What Are They and How Should You Use Them? - TCK Publishing

Modifiers: What Are They and How Should You Use Them? - TCK Publishing

Bing

Key Findings & Research Synthesis

「need」は「必要」「必需品」「困窮」などの意味を持つ英単語であり、名詞、動詞、助動詞として使用される。 「need」とは・「need」の意味. Studies show, 「in need」の意味・翻訳・日本語 - 必要としている;不足している、in need (必要としている;不足している)|Weblio英和・和英辞書. Data confirms, Bachelor【名】未婚男性,独身男性,学士. Insights reveal, 名詞 lack (countable and uncountable, plural lacks) A deficiency or need (of something desirable or necessary). These findings regarding I Need Some Help To Understand Modifiers And Characters provide comprehensive context for understanding this subject.

View 3 Additional Research Points →

in needの意味・使い方・読み方 | Weblio英和辞書

Knowledge BaseResearch Entry • ID: 2026-0002

「in need」の意味・翻訳・日本語 - 必要としている;不足している、in need (必要としている;不足している)|Weblio英和・和英辞書

英語「bachelor」の意味・使い方・読み方 | Weblio英和辞書

Knowledge BaseResearch Entry • ID: 2026-0003

bachelor【名】未婚男性,独身男性,学士... a Bachelor of Arts:文学士 A.B.》. - 研究社 新英和中辞典...【発音】bˈætʃ (ə)lɚ, ˈbætʃʌlɜ:【変化】bacheloring (現在分詞),bachelored (過去形),bachelored (過去分 …

英語「lack」の意味・使い方・読み方 | Weblio英和辞書

Knowledge BaseResearch Entry • ID: 2026-0004

名詞 lack (countable and uncountable, plural lacks) A deficiency or need (of something desirable or necessary); an absence, want, dearth. Synonym: paucity Antonyms: glut, surplus, plethora

Helpful Intelligence?

Our AI expert system uses your verification to refine future results for I Need Some Help To Understand Modifiers And Characters.

Network Suggestions