Massage National Exam Questions And Answers
Analysis ID: HMMW8K
Dataset: Global Intelligence 2026-V2

Massage National Exam Questions And Answers

Share

Executive Summary

Explore detailed research on Massage National Exam Questions And Answers. Dataset compiled from 10 authoritative feeds with 8 supporting visuals. It is unified with 10 parallel concepts to provide full context.

Topics frequently associated with "Massage National Exam Questions And Answers": Review: Park Massage Healthy Center, Review: Lydia, Lotus Massage Ocala, Review: Monroeville Massage, and additional concepts.

Dataset: 2026-V3 • Last Update: 12/21/2025

Understanding Massage National Exam Questions And Answers

Expert insights into Massage National Exam Questions And Answers gathered through advanced data analysis in 2026.

Massage National Exam Questions And Answers Detailed Analysis

In-depth examination of Massage National Exam Questions And Answers utilizing cutting-edge research methodologies from 2026.

Everything About Massage National Exam Questions And Answers

Authoritative overview of Massage National Exam Questions And Answers compiled from 2026 academic and industry sources.

Massage National Exam Questions And Answers Expert Insights

Strategic analysis of Massage National Exam Questions And Answers drawing from comprehensive 2026 intelligence feeds.

Visual Analysis

Data Feed: 8 Units
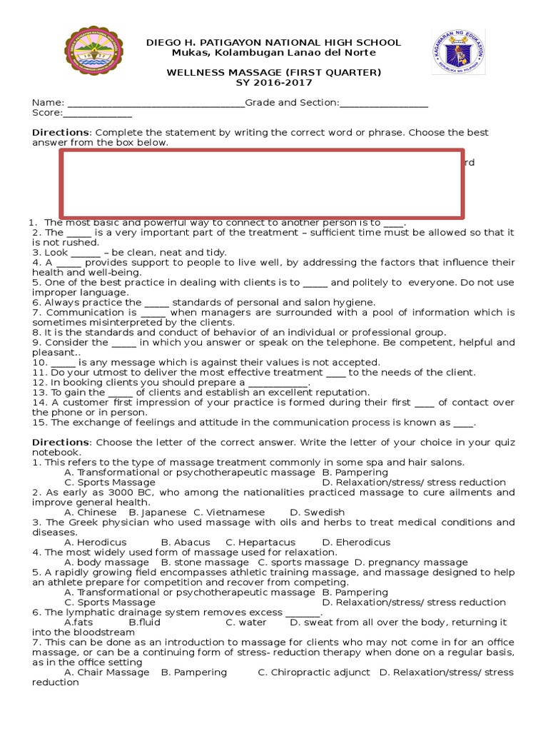
Wellness Massage First Quarter Exam For Grade 10 | Download Free PDF ...

Wellness Massage First Quarter Exam For Grade 10 | Download Free PDF ...

Bing
Massage Therapy Practice Exam Questions and Answers | Exams Cosmetology ...

Massage Therapy Practice Exam Questions and Answers | Exams Cosmetology ...

Bing
Hawaii Massage Exam Practice Test 2024 Questions and Answers 100% ...

Hawaii Massage Exam Practice Test 2024 Questions and Answers 100% ...

Bing
Hawaii Massage Exam Study Guide Questions & Answers(Latest Update 2024 ...

Hawaii Massage Exam Study Guide Questions & Answers(Latest Update 2024 ...

Bing
Top 15 Massage Therapist Interview Questions – Career Sidekick

Top 15 Massage Therapist Interview Questions – Career Sidekick

Bing
Massage National Exam Questions and Answers by Daphna R. Moore | Goodreads

Massage National Exam Questions and Answers by Daphna R. Moore | Goodreads

Bing
Hawaii Massage Board Exam Practice Exam Questions and Answers | Exams ...

Hawaii Massage Board Exam Practice Exam Questions and Answers | Exams ...

Bing
MILADY”S ESTHETICS – FACIAL MASSAGE EXAM 200 QUESTIONS AND CORRECT ...

MILADY”S ESTHETICS – FACIAL MASSAGE EXAM 200 QUESTIONS AND CORRECT ...

Bing

Expert Research Compilation

Title: Review: Lydia, Lotus Massage Ocala Date: Jan 15, 2025 Phone: (352) 843-0076 City: Ocala State: FL Location: RT27 & Interstate75 House Fee & Tip (if applicable) 80/ …. Insights reveal, Title: Review: Monroeville Massage - Cindy Date: Mar 25, 2025 Phone: 412-482-2390 City: Monroeville State: Pennsylvania Location: Daugherty Dr House Fee & Tip (if …. Observations indicate, Title: Review: Crystal Massage - Waltham Date: May 12, 2024 Phone: 781-788-9772 City: Waltham State: MA Location: Office building House Fee & Tip (if applicable) 40hh + …. Additionally, Title: Review: Bangkok Thai Massage Date: May 13, 2025 Phone: City: Encino State: California Location: Bangkok Thai Massage, entrance in back House Fee & Tip (if …. These findings regarding Massage National Exam Questions And Answers provide comprehensive context for understanding this subject.

View 4 Additional Research Points →

Review: Monroeville Massage - Cindy | AMP Reviews

Data RepositoryDatabase Entry • #20260002

Mar 4, 2025 · Title: Review: Monroeville Massage - Cindy Date: Mar 25, 2025 Phone: 412-482-2390 City: Monroeville State: Pennsylvania Location: Daugherty Dr House Fee & Tip (if …

Review: Crystal Massage - Waltham | AMP Reviews

Data RepositoryDatabase Entry • #20260003

Feb 19, 2019 · Title: Review: Crystal Massage - Waltham Date: May 12, 2024 Phone: 781-788-9772 City: Waltham State: MA Location: Office building House Fee & Tip (if applicable) 40hh + …

Review: Bangkok Thai Massage | AMP Reviews

Data RepositoryDatabase Entry • #20260004

Jan 13, 2025 · Title: Review: Bangkok Thai Massage Date: May 13, 2025 Phone: City: Encino State: California Location: Bangkok Thai Massage, entrance in back House Fee & Tip (if …

Review: New Life Massage - Tina | AMP Reviews

Data RepositoryDatabase Entry • #20260005

Feb 10, 2022 · Title: Review: New Life Massage - Tina Date: Feb 9, 2022 Phone: 267-266-2686 City: Chester Springs State: PA Location: Rt. 100 across from Wawa Age Estimate: 50's …

Helpful Intelligence?

Our AI expert system uses your verification to refine future results for Massage National Exam Questions And Answers.

Related Intelligence Nodes

Network Suggestions